SportAdmin använder Cookies för att förbättra din användarupplevelse. Genom att klicka på Jag Godkänner tillåter du detta. Här kan du läsa mer om cookies och hur SportAdmin använder dem.
Genarps Idrottsförening
Löpning

Klubbmästerskap i Genarps IF 2022
2022-10-23 18:08
Tack Christian för alla bilderna

Årets Mästerskap avgjordes i perfekt löparväder!

Mycket snack före det prestigefyllda loppet kring det viktiga skovalet.

  -är det torrt? 
  -mycket rötter?

  -Sten?

Vad svarar man på detta, det är ju det enda vi har, ingen asfalt🥵. 
Som vanligt körde vi loppet med WMAs uträkning som handikapp.

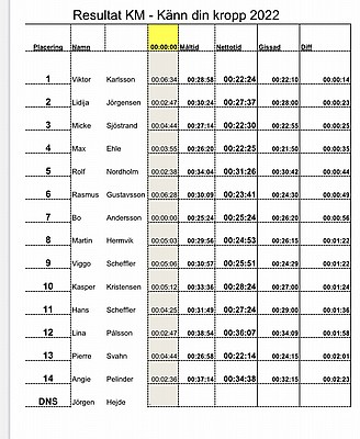
För första gången stod Bo (jag) som segrare, en stolt sådan, på en tid som tillhörde svunna tider.

Känn din kropp tävlingen är ju tävlingen där de egna löparkunskaperna visar sig, har man koll?? Här kan det verkligen kallas öppet lopp, ingen vet förrän resultatet presenteras.

Viktor visade att han vet... att på den tuffa banan gissa fel på 14 sekunder är imponerande.

 

Kanske det viktigaste är ändå gemenskapen med korvgrillningen som Jesper skötte med bravur.

Allt eftersnack - och konstigt nog var alla krämpor som bortblåsta🤣. 

Nu ska vi bara inspirera varandra att ställa upp på andra tävlingar också - för visst är det kul!

 


Nyhetsarkiv
Resultat KM 20252025-10-19 17:02
De 7 Samurajerna2024-07-03 09:51
Banrekorden RISEN-loppet2024-05-03 09:06
Kristianstad Trail 2023-11-27 21:50
Etape Bornholm2023-07-29 11:24
GIFT 20232023-07-04 13:29
…och VINNARE är…2023-06-30 09:55
2023-02-22 09:35
Dags nu med KM2022-10-08 18:00
Wallanderloppet 5/72022-07-06 10:15
Lundaloppet 20222022-05-07 21:32
10 km2022-04-18 07:38
Stjärnornas väg2022-03-13 17:17
Malmö Indoor Challenge2022-03-07 20:56
Grattis Laurent!2022-01-16 16:50
Ny regel på bana2021-12-21 11:36
Genarps IF levererar2021-11-01 09:59
SM Terräng i Skåne2021-10-23 17:27
Vilken löpardag2021-09-04 21:27
Etape Bornholm 2020/20212021-07-31 11:03
Grattis Babak!2021-07-14 21:57
Gyllebovarvet 20212021-05-22 18:19
Bra test av formen2021-03-06 16:14
Uppdaterad klädprofil2021-02-01 16:34
2020-10-08 21:39
Ungdoms-SM 2020-08-30 18:29
Rapport från Ystad2020-08-27 12:20
Toppeloppet i Genarp2020-07-08 08:42
Toppeloppet 7/7 kl 19.002020-06-25 10:59
Gyllebovarvet2020-05-17 07:28
Nu tränar vi i skogen2020-03-25 11:41
Vad gör du milen på?2020-02-27 11:10
Löparmöte2020-02-24 13:00
Mästarna i GIF 20192019-11-25 11:56
Löpningens "blå band"2019-08-02 09:25
Etape Bornholm 2019-07-28 17:49
Den Stora Löpardagen2019-05-12 18:12
Ny medaljskörd i Malmö2019-02-11 08:56
2019-01-08 17:00
Marathonåret 20182018-12-06 21:08
6 killar på Julchansen2018-12-02 16:29
Ännu ett SM-guld2018-10-14 20:00
Laurent har klarat UTMB!2018-09-01 08:20
Världsungdomsspelen2018-07-02 18:48
SM-guld igen2018-07-01 21:13
Friidrottshelg i Eslöv2018-05-27 16:16
Beep-test2018-03-09 09:15
Julchansen2017-12-03 11:24
Sydsvenska Ungdomsspelen2017-09-03 21:02
VSM i Karlskrona2017-08-21 11:10
Rekord i Ystad 2017-04-10 09:23
Lyckad test av GIFT2017-03-11 12:47
Det nya medlemskortet2017-02-28 08:52
Löparfest i Genarp2016-12-15 10:54
Albin chockade i Ystad2016-07-24 20:13
Premiären av GIFT2016-07-11 09:27
Tävling i ÖS-regn2016-07-04 09:45
Earth Hour2016-06-15 10:13
Ungdomsträning i Juni2016-05-29 10:16
Genarps IF vs Genarps IF2016-05-23 08:24
4 nya klubbrekord2016-05-12 16:45
Framgångar i Ystad2016-04-10 17:20
Fem från Genarps IF2016-03-27 12:23
Albin tävlade i Borås2016-03-15 11:04
Årets julklapp!2015-11-22 15:38
Genarps IF 10:a i Skåne2015-11-20 11:45
DM i terränglöpning2015-10-12 09:10
VVM i Bergslöpning2015-09-14 17:42
VDM 1500 m.2015-08-28 19:01
Svettig fight i Veberöd2015-08-16 09:55
VSM helg i Uddevalla2015-07-26 17:00
Klubbmästerskap 20152015-07-15 13:15
Ultra Trail av Laurent2015-06-27 11:01
En stor Löparhelg2015-05-24 21:44
Ny träningsgrupp2015-05-05 22:29
RISEN-loppet genomfört2015-05-01 17:44
Testlopp i kväll2015-04-23 14:39
Det haglade i Ystad!2015-04-12 15:54
Extra träning!2015-04-06 11:40
Våra Sponsorer